Modifié le 7 juin 2025 par epargnebourse.fr
Les Bandes de Bollinger sont un outil d’analyse technique largement utilisé en bourse pour identifier les tendances et la volatilité des marchés. Créé par John Bollinger dans les années 1980, cet indicateur est basé sur une approche originale. Il aide les traders à prendre des décisions éclairées en repérant les opportunités d’achat et de vente. Dans cet article, nous allons explorer le fonctionnement des Bandes de Bollinger, comment les interpréter et les stratégies de trading associées. Je vous montrerai des exemples concrets d’utilisation basés sur mes propres analyses et sessions de trading.
Sommaire « Les Bandes de Bollinger »
Cet article fait partie de ma série d’articles consacrée à l’analyse technique, au price action, à la théorie de Dow, et à la méthode de Wyckoff.
Qu’est-ce que les Bandes de Bollinger ?
Les Bandes de Bollinger sont constituées de trois lignes principales qui forment deux bandes autour de l’évolution du prix :
- La ligne médiane : Il s’agit d’une moyenne mobile simple (généralement sur 20 périodes).
- La ligne supérieure : Elle est calculée en ajoutant deux écarts-types à la moyenne mobile.
- La ligne inférieure : Elle est calculée en soustrayant deux écarts-types à la moyenne mobile.
Nous allons maintenant voir pourquoi John Bollinger a utilisé les outils mathématique que sont la moyenne mobile et l’écart type. Mais pour cela, il faut faire un peu de maths, et comprendre les notions importantes de variance, d’écart type, et parler brièvement de la loi normale en probabilité.
Bandes de Bollinger explication mathématique
Moyenne mobile
Pour mieux comprendre une série de nombres, et dans notre cas, une série de prix, on peut calculer sa moyenne. Dans le cas d’ue série de prix, on utilise même un moyenne mobile, cad une courbe qui représente l’évolution de la moyenne des prix.
Par exemple, pour une moyenne à 20 période la formule est simplicime et archi connue :

C’est le choix que John Bollinger a fait pour ses bandes éponymes. Le centre de la bande e bollinger est simplement un moyenne mobile.
Là où John Bollinger a introduit une spécificité, c’est en utilisant un autre outils mathématique bien connu : l’écart type.
Variance, écart type
L’écart type d’une série de prix (ou de valeurs de façon générale) est égal à la racine carrée de la variance de la série de prix. La variance de cette série étant elle-même égale à la moyenne de la somme des carrés des écarts à la moyenne. Ce qui en prenant une série de 20 prix donne la formule développée suivante :

L’Écart-Type est une mesure simple et très souvent utilisée de la volatilité des prix autour de leur moyenne, et c’est un des piliers des Bandes de Bollinger
Nous avons vus plus haut que :
- La ligne supérieure : Elle est calculée en ajoutant deux écarts-types à la moyenne mobile.
- La ligne inférieure : Elle est calculée en soustrayant deux écarts-types à la moyenne mobile.
Une question se pose quand même : Pourquoi diable John Bollinger a t-il utilisé l’écart type, avec un facteur 2 dans ses bandes de Bollinger et pas seulement un écart type, ou pourquoi pas 3 ou même 10 écarts types ?
Il avait une raisons bien spécifique, et c’est ce que nous allons voir maintenant. Mais pour cela, il faut introduire la notion de « loi de distribution normale ».
Hasard et loi normale
La loi normale, également appelée distribution normale ou courbe de Gauss, est une loi de probabilité continue qui décrit comment les valeurs d’une variable aléatoire sont réparties autour de la moyenne. Elle est caractérisée par sa forme en cloche symétrique. La loi normale est utilisée dans de nombreux domaines comme les statistiques, l’économie, la biologie, la physique, et plus encore, car de nombreux phénomènes observés dans la nature suivent approximativement cette distribution.
La fonction de densité de probabilité d’une loi normale est connue, modélisée par une équation que vous n’avez heureusement pas besoin de connaître pour trader avec les bandes d Bollinger mais qui est lourde d’implication :

Grace à elle, nous savons que :
- 68.27 % des données se trouvent à moins d’un écart-type de la moyenne,
- 95.45 % à moins de deux écarts-types
- et 99,73 % à moins de trois écarts-types.
Nous avons maintenant la réponse à la question du facteur 2 comme paramètre standard des bandes. John Bollinger s’est appuyé sur une des caractéristique de la « loi normale » : 95% des valeurs sont comprises dans l’interval : [Moyenne – 2*écart type et moyenne ; Moyenne + 2*écart type]
Attention : Il ne faut pas en déduire, comme on peut le lire beaucoup trop souvent que le cours de bours d’une action, d’un indice, d’une paire Forex se passe 95% de son temps à l’intérieur des bandes de Bollinger. Nous reviendrons sur ce point un peu plus loin.
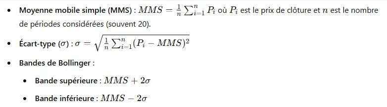
Bandes de Bollinger Calcul
Les Bandes de B. reposent donc sur le concept statistique de l’écart-type. Il mesure la dispersion des valeurs d’une série de nombre (dans notre cas d’une série de prix) par rapport à leur moyenne.
Voici ci-dessous les formules permettant de calculer :
- La courbe centrale de la bande de Bollinger qui est la Moyenne mobile simple (MMS) sur 20 jours
- La Bollinger haute = MMS20 + 2 Ecarts types
- La Bollinger basse = MMS20 – 2 Ecarts types

Vous n’avez pas besoin de connaître ces formules, votre logiciels (Prorealtime, C Trader, Trading View, …) le fait pour vous. Mais, je suis de ceux qui pensent que pour bien utiliser un outil de trading, il faut comprendre comment il est calculé car cela permet de mieux connaître ses avantages et ses limites. Nous verrons plus loin que dans le cas des bandes de John Bollinger, il existe un certain nombre d’idée fausses que vous pourrez éviter en ayant compris les fondements mathématiques.
Mon Setup des Bollinger Bands
Vous avez ci-dessous des copies d’écran incluant ma façon de paramétrer les Bollinger Bands. Dans les trois cas, vous trouverez :
- La BB « classique » avec une moyenne mobile à 20 périodes et un paramètre de 2. Elle sont en orange sur le graphique. Et l’intérieur des bandes est en jaune orangé.
- ainsi que des BB avec une moyenne mobile à 100 périodes et un paramètre de 2. Elle sont en violet avec pointillés larges sur le graphique
- et des BB avec une moyenne mobile à 200 périodes et un paramètre de 2. Elle sont en rouge avec pointillés serrés sur le graphique

J’utilise systématiquement ces trois bandes de Bollinger, pour toutes les unités de temps. Et qu’il s’agisse d’analyser un graphique dans une optique d’investissement ou de trading.
Ci dessous, vous avec un exemple pour EUR/USD et les trois UT : 5 min, 1 min, 10 s.

Avant de regarder la façon d’utiliser les bandes de bollinger, examinons quelques idées fausses.
Idée Fausse : Le cours est à l’intérieur des Bandes de Bollinger 95 % du temps
Il est courant d’entendre que le cours d’un actif financier se situe environ 95% du temps à l’intérieur des bandes. Cette affirmation est non seulement fausse, mais elle peut faire prendre de très mauvaises décisions et donc vous faire perdre de l’argent.
Il m’est arrivé plusieurs fois de lire sur des forums des messages du type : « L’action XXX vient de passer 3 Jours au dessous de sa borne inférieure, et comme elle est 95% du temps au dessus, j’ai acheté car le cours va forcément revenir à l’intérieur des bandes ».
Il s’agit là d’une grave incompréhension de ce que sont les BB et de la façon de les trader correctement.
L’affirmation que les cours sont à l’intérieur des bandes 95% du temps est contredite par les backtests et par la théorie. Voici quelques points clés sous l’angle mathématique :
- Origine de cette idée fausse :
- Dans une distribution normale (courbe en cloche), et quand la taille de l’échantillon augmente, environ 95% des données se situent à moins de deux écarts-types de la moyenne.
- Les bandes de Bollinger sont construites autour d’une moyenne mobile et d’un interval en valeur absolue de deux écarts types.
- La tentation est alors grande de se dire que 95% des cours sont à l’intérieur des bandes. Mais cela est faux. Car plusieurs conditions ne sont pas remplies.
- Condition 1 non remplie : Une série de 20 prix est un taille d’échantillon insuffisante : Le Théorème Central Limite (TCL) stipule que la distribution des moyennes d’échantillons tend vers une loi normale lorsque la taille de l’échantillon est suffisamment grande. Avec seulement 20 observations, l’échantillon est trop petit pour que cet effet s’applique correctement.
- Condition 2 non remplie : Absence d’indépendance des observations : Les cours de bourse sont autocorrélés, c’est-à-dire qu’un cours d’aujourd’hui dépend fortement des cours des jours précédents. Cela viole l’hypothèse d’indépendance des observations, qui est une condition clé pour que la moyenne des échantillons suive une distribution normale sous l’effet du TCL.
- Condition 3 non remplie : Non-stationnarité des prix. Une série de prix boursiers évoluant de façon différente barre après barre, est non stationnaire, ce qui signifie que ses caractéristiques statistiques (moyenne, variance) évoluent dans le temps. Une distribution normale suppose une variance constante, ce qui n’est pas le cas dans les marchés financiers soumis à des périodes de forte et faible volatilité.
- Condition 4 non remplie : Présence de queues épaisses. Les cours de bourse présentent souvent une distribution à queues épaisses, c’est-à-dire qu’il y a plus d’événements extrêmes (fortes hausses ou baisses) que ce que prédirait une loi normale. Cette caractéristique est incompatible avec une distribution normale classique qui suppose une décroissance rapide de la probabilité des valeurs extrêmes.
- Condition 5 non remplie : Asymétrie possible. La distribution des valeurs est régulièrement asymétrique, notamment en cas de tendance forte haussière ou baissière, alors qu’une loi normale est symétrique autour de sa moyenne.
Conclusion : Avec seulement 20 observations, une série de cours de bourse ne satisfait ni les conditions d’indépendance, ni celles de stationnarité, ni celles de distribution normale (queues épaisses et asymétrie). Cela signifie qu’on ne peut pas appliquer directement les propriétés de la loi normale aux prix boursiers sur un échantillon aussi réduit. Il est donc généralement faux de dire que : « Le cours est à l’intérieur des BB pendant 95 % du temps »
Il existe d’autre idées fausses sur les bandes de John Bollinger mais, elle découle généralement de ce que je viens de détailler. Il ne faut donc tout simplement pas surestimer les BB ni la capacité des cours de bourse à se conformer à une loi statistique, en particulier sur un échantillon de 20 prix.
Bandes de Bollinger Utilisation pour l’investissement et le trading
Même si elles ne sont pas un outil aussi rigoureux au plan mathématique que ce que certains imaginent, les BB sont très utiles pour contribuer à dresser un tableau général lors d’une analyse technique.
John Bollinger lui-même a toujours insisté sur le fait que les bandes de Bollinger ne sont pas un système de trading autonome. Elles sont conçues pour fournir un contexte à l’action des prix et aider à identifier les périodes de forte ou faible volatilité. Les sorties du cours sous la bande inférieure de Bollinger ou au dessus de la bande supérieure de Bollinger ne sont pas nécessairement des signaux d’achat ou de vente.
Alors comment utiliser les BB ? Je vais vous indiquer comment je le fais.
Quels paramètres ?
Comme vous l’avez vus sur les exemples de graphiques, en plus des paramètre classiques (20, 2), j’utilise aussi des BB sur 100 périodes et même sur 200 périodes pour détecter des niveaux extrêmes de volatilité.
Je n’ai jamais fait de backtest quantitatif, pour justifier ce choix. Mais d’expérience, je trouve celà plus utile que les BB à 20 périodes, et cela m’aide dans mes analyse techniques.
Les BB pour quantifier la volatilité
Compte tenu de l’utilisation de l’écart type dans la formule de calcul des BB, elles sont un bon moyen de quantifier la volatilité. Lorsque les bandes sont larges, cela signifie que le marché est volatile. À l’inverse, des bandes étroites indiquent une période de faible volatilité, souvent annonciatrice d’un mouvement important à venir.
Quand je suis en présence de bandes très resserrées sur 20, 100, 200 périodes, cela me montre que le cours arrive sur des niveau ou les acheteurs et les vendeurs se neutralisent depuis longtemps. Et que donc toute nouvelle tendance a une forte probabilité de casser cet équilibre et devra être pris au sérieux.
Les BB comme niveaux de support/résistance
Je vais évoquer ce point dans le paragraphe suivant avec d’autre stratégies de trading.
Stratégies de Trading avec les Bandes de Bollinger
Ce paragraphe sur les stratégies de trading peut aussi bien s’appliquer sur des horizons de temps beaucoup plus longs, et donc pour de l’investissement.
John Bollinger dans son livre (voir lien plus bas dans cet article) et dans ses nombreuses interventions publiques propose plusieurs stratégies basées sur ses bandes :
- Le trading en tendance : Suivre la direction générale du marché et utiliser les bandes comme repères de volatilité., ou comme supports/résistance dynamiques.
- Le trading de retournement : Acheter lorsque le prix touche la bande inférieure et montre des signes de rebond, ou vendre lorsqu’il touche la bande supérieure et ralentit. Selon mon expérience, cette stratégie fonctionne mieux quand elle est combinée avec d’autres éléments (ratio de Fibo, S/R, …)
- Le « Bollinger Band Walk » : Lorsque les prix longent la bande supérieure ou inférieure sur une longue période, cela indique une forte tendance plutôt qu’un retournement imminent. Il est alors souvent possible de prendre des trades de durée plutôt courte avec une bonne probabilité de succès et un stops facile à placer.
Combinaison avec d’autres indicateurs
Vous savez, que le trading est une affaire de probabilité. Et que, pour mettre les probabilités de notre coté,, il est recommandé d’utiliser les Bandes de Bollinger avec d’autres éléments.
Pour ma part, j’utilise les BB en complément de mon analyse MTF (multi TImeframe), de l’analyse du price action et des moyennes mobiles. D’autres utilisent les BB en les complétant par des indicateurs techniques comme le RSI (Relative Strength Index), ce n’est pas mon cas.
Ecrivez moi à contact@epargnebourse.fr si vous souhaitez que je développe davantage cette partie de l’article.
De la lecture pour aller plus loin
A tout seigneur, tout honneur je vais vous parler du livre de John Bollinger lui même.
Je possède la version originale en Anglais que j’ai acheté il y a assez longtemps. Mais il existe aussi une version que vous pouvez acheter en Français. Je vous donne les deux liens ci-dessous. La version en Anglais se lit assez facilement.
Le livre de John Bollinger évoque bien évidemment les bandes du même nom. Il détaille les concepts de base, il fait aussi le lien entre certains configurations graphiques et les BB, et il donne des exemples de stratégies de trading ayant pour outil principal les BB.
J’aime bien ce livre, car il aborde aussi le concept de volatilité. Sujet qui est trop souvent ignoré par les investisseurs et les traders particuliers.
Vous pouvez vous faire votre propre idée en cliquant sur l’image de la page de couverture ci-dessous. Vous pourrez lire les commentaires ou un extrait du livre.

Au moment ou je mets à jour cet article ce livre est noté 4.5 par 345 lecteurs. Je ne suis pas le seul à l’apprécier.
Le livre est à 51 € ce jour ce qui me semble un prix correct (mais la version Française est moins chère). Il existe aussi en version Kindle pour 36 € mais je ne crois pas que ce soit un bon choix pour ce type de livre.
Mention légale : En tant que Partenaire Amazon, je réalise un bénéfice sur les achats remplissant les conditions requises.

Au moment ou je mets à jour cet article ce livre est noté 4.0 par 52 lecteurs. Comme assez souvent, les Français ont la dent un peu plus dure que les autres quand il s’agit de noter…
Mais 4.0 reste une bonne note pour un livre plutôt technique.
Le livre est à 42.6 € ce jour ce qui est moins cher que la version en Anglais.
Mention légale : En tant que Partenaire Amazon, je réalise un bénéfice sur les achats remplissant les conditions requises.
Conclusion
Ce tour d’horizon de cet outil classique de l’analyse technique que sont les Bollinger Bands est terminé. J’espère vous avoir aidé à éclaircir le sujet et surtout vous avoir aidé à faire un premier tri entre les « fausses bonnes » idées et les pistes sérieuses liées aux BB.
Si vous souhaitez approfondir un point spécifique, faites-le-moi savoir ! 😊 : contact@epargnebourse.fr
A vous de jouer !
Cet article touche à sa fin, et j’espère qu’il vous a apporté des pistes de réflexion intéressantes. Si vous l’avez trouvé utile, n’hésitez pas à le partager en un clic :
Pour ne rien manquer de l’actualité d’epargnebourse.fr, inscrivez-vous dès maintenant à la Newsletter Hebdomadaire et recevez directement les dernières analyses et tendances du marché :



